Red Paper
CONTACT: +91-9711224068
International Journal of Mosquito Research
  • Printed Journal
  • Indexed Journal
  • Refereed Journal
  • Peer Reviewed Journal

Impact Factor (RJIF): 5.82

Peer Reviewed Journal

Vol. 5, Issue 4, Part A (2018)

Insecticidal activity of Cannabis sativa L leaf essential oil on the malaria vector Anopheles gambiae s.l (Giles)

Doses-response curve of larvicidal activity of <em>C.sativa</em> L leaf E.O on <em>An. gambiae s.l</em> after 24 hours
Fig. 1: Doses-response curve of larvicidal activity of C.sativa L leaf E.O on An. gambiae s.l after 24 hours
Dose-response curve of larvicidal activity of <em>C.sativa</em> L leaf E.O on <em>An. gambiae s.l</em> after 48 hours
Fig. 2: Dose-response curve of larvicidal activity of C.sativa L leaf E.O on An. gambiae s.l after 48 hours
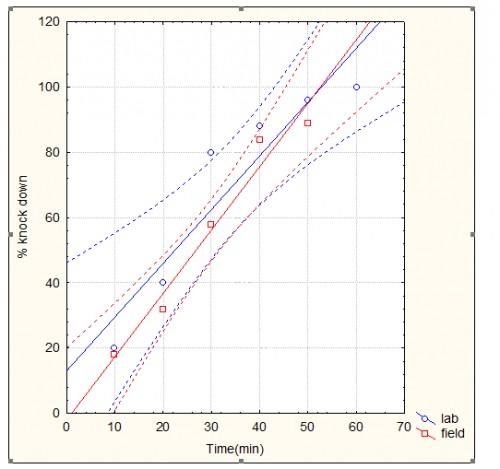
Knock down response curve of the activity of <em>C.sativa</em> L leaf E.O on <em>An. gambiae s.l</em>
Fig. 3: Knock down response curve of the activity of C.sativa L leaf E.O on An. gambiae s.l
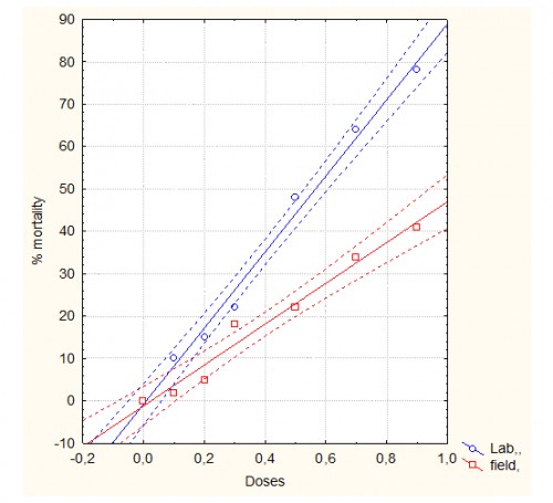
Dose response curves of <em>C.sativa</em> L leaf essential oil on adult <em>An. gambiae s.l</em> females
Fig. 4: Dose response curves of C.sativa L leaf essential oil on adult An. gambiae s.l females
International Journal of Mosquito Research

International Journal of Mosquito Research

International Journal of Mosquito Research
Call for book chapter