Red Paper
CONTACT: +91-9711224068
International Journal of Mosquito Research
  • Printed Journal
  • Indexed Journal
  • Refereed Journal
  • Peer Reviewed Journal

Impact Factor (RJIF): 5.82

Peer Reviewed Journal

Vol. 4, Issue 6, Part A (2017)

Malaria trend and effect of rainfall and temperature within Regions 7 and 8, Guyana

Map of Guyana highlighting the study regions
Fig. 1: Map of Guyana highlighting the study regions
Trend in Rainfall and Temperature in Region 8 (A-H indicates for 2006-2013)
Fig. 2: Trend in Rainfall and Temperature in Region 8 (A-H indicates for 2006-2013)
showing Trend in Rainfall and Temperature in Region 7 (A-H indicates for 2006-2013)
Fig. 3: showing Trend in Rainfall and Temperature in Region 7 (A-H indicates for 2006-2013)
Comparison of total malarial cases in region 7 and region 8.
Fig. 4: Comparison of total malarial cases in region 7 and region 8.
Percentage of individual parasite species in region 7 and region 8.
Fig. 5: Percentage of individual parasite species in region 7 and region 8.
Graph showing correlation between rainfall and plasmodium species in region 7
Fig. 6: Graph showing correlation between rainfall and plasmodium species in region 7
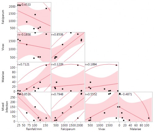
Graph showing correlation between rainfall and plasmodium species in region 8
Fig. 7: Graph showing correlation between rainfall and plasmodium species in region 8
Graph showing correlation between rainfall and plasmodium species in region 8
Fig. 8: Graph showing correlation between rainfall and plasmodium species in region 8
Percentage of malarial cases among different age groups
Fig. 9: Percentage of malarial cases among different age groups
Prevalence of malarial parasite among different ethnic groups
Fig. 10: Prevalence of malarial parasite among different ethnic groups
Prevalence of malarial cases distributed among male and female populations
Fig. 11: Prevalence of malarial cases distributed among male and female populations
International Journal of Mosquito Research

International Journal of Mosquito Research

International Journal of Mosquito Research
Call for book chapter